Dados dos números enteros `a` y `b`, con `b!=0`, escribimos `a/b` para indicar una fracción de numerador `a` y denominador `b`. Dos fracciones `a/b` y `c/d` se llaman equivalentes, y lo escribimos así `a/b=c/d`, sí y sólo si `a·d=c·b`. Dada una fracción `a/b`, es posible siempre encontrar otra fracción equivalente a ella en la que el numerador y el denominador sean números enteros primos entre sí. Esta fracción se llama fracción irreducible.
DEFINICIÓN:
Al conjunto de todas las fracciones equivalentes entre sí, le llamamos número racional. Por lo tanto, para expresar un número racional solo es necesario escribir una cualquiera de sus fracciones equivalentes. Con frecuencia se usa como representante de un número racional su fracción irreducible.
Por tanto, si decimos que `r` es un número racional entonces existen dos números enteros `a` y `b` (con `b!=0`), primos entre sí, tales que: `r=a/b`.
Al conjunto de todos los números racionales lo solemos representar con la letra `QQ` (del inglés: quotient, cociente). Además, todo número entero `m` es un número racional, ya que le podemos asociar la fracción irreducible `m/1`.
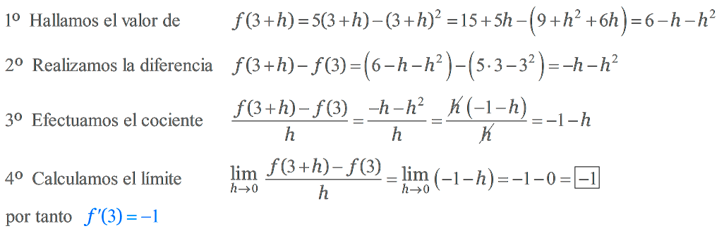
Problema r011
Hallar el valor de la derivada de `f(x)=5x-x^2` en el punto x=3, por la definición.

Hoy ........ 2023
Ayer ....... 2856
Mes ....... 45193
TOTAL ... 6556660
Hay 250 invitados y ningún miembro en línea